哈尔滨音乐学院2021年本科复试名单及复试安排公布

测试引导图片
  • 预约测评
  • 提交

哈尔滨音乐学院2021年本科复试名单及复试安排

各位考生:ZDc音乐培训_音乐艺考培训学校-

按照和黑龙江省教育厅关于艺术类专业招生考试工作的相关要求,依据《哈尔滨音乐学院2021年本科招生简章》(以下简称《招生简章》)和《哈尔滨音乐学院2021年本科招生专业课考试工作方案》要求,现将学院2021年本科专业校考复试相关工作通知如下:ZDc音乐培训_音乐艺考培训学校-

一、复试名单ZDc音乐培训_音乐艺考培训学校-

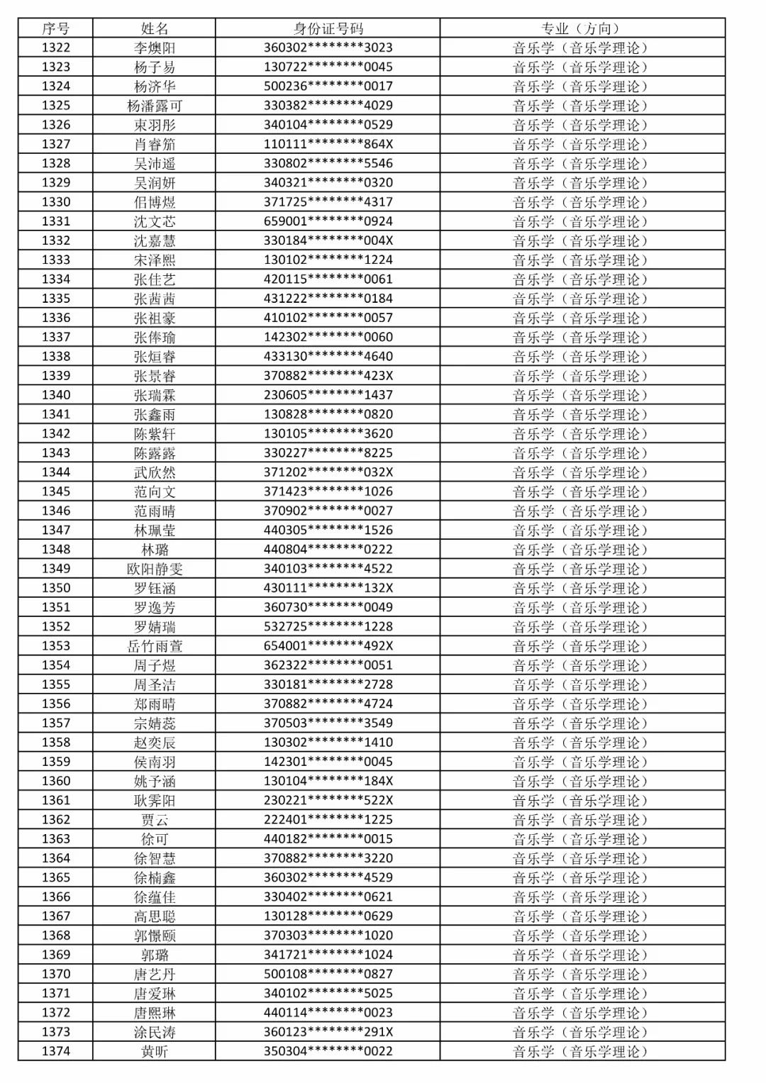
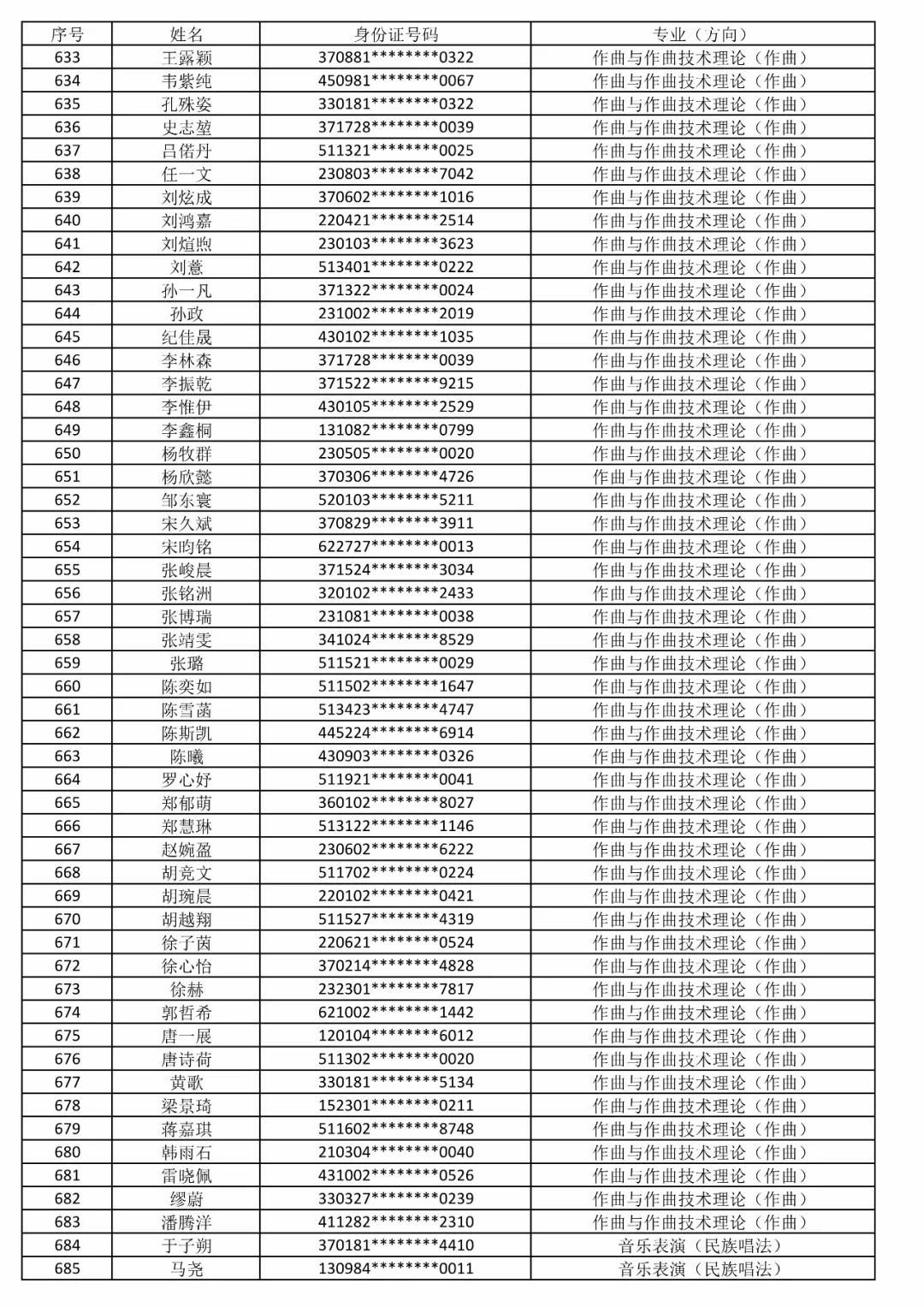
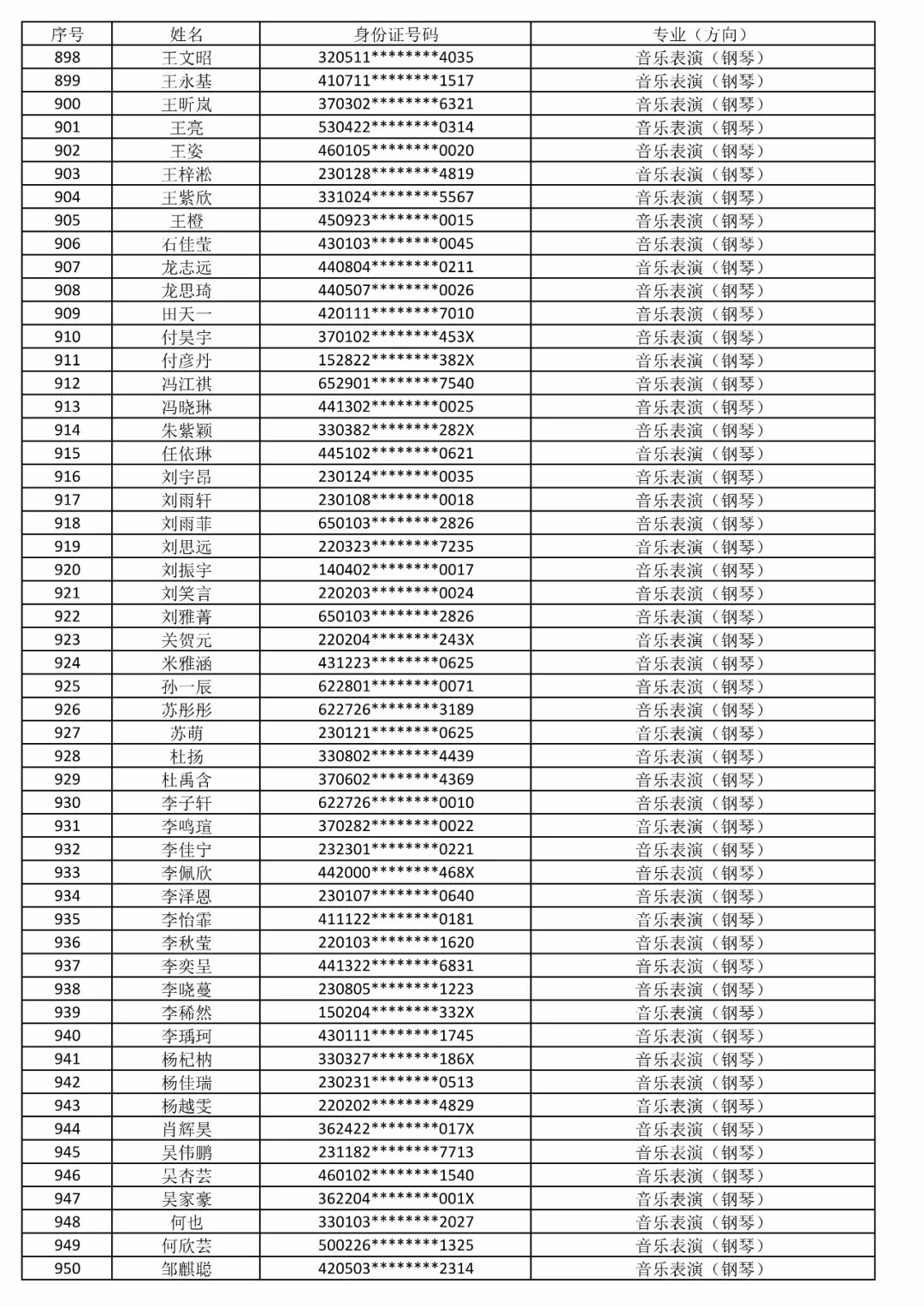
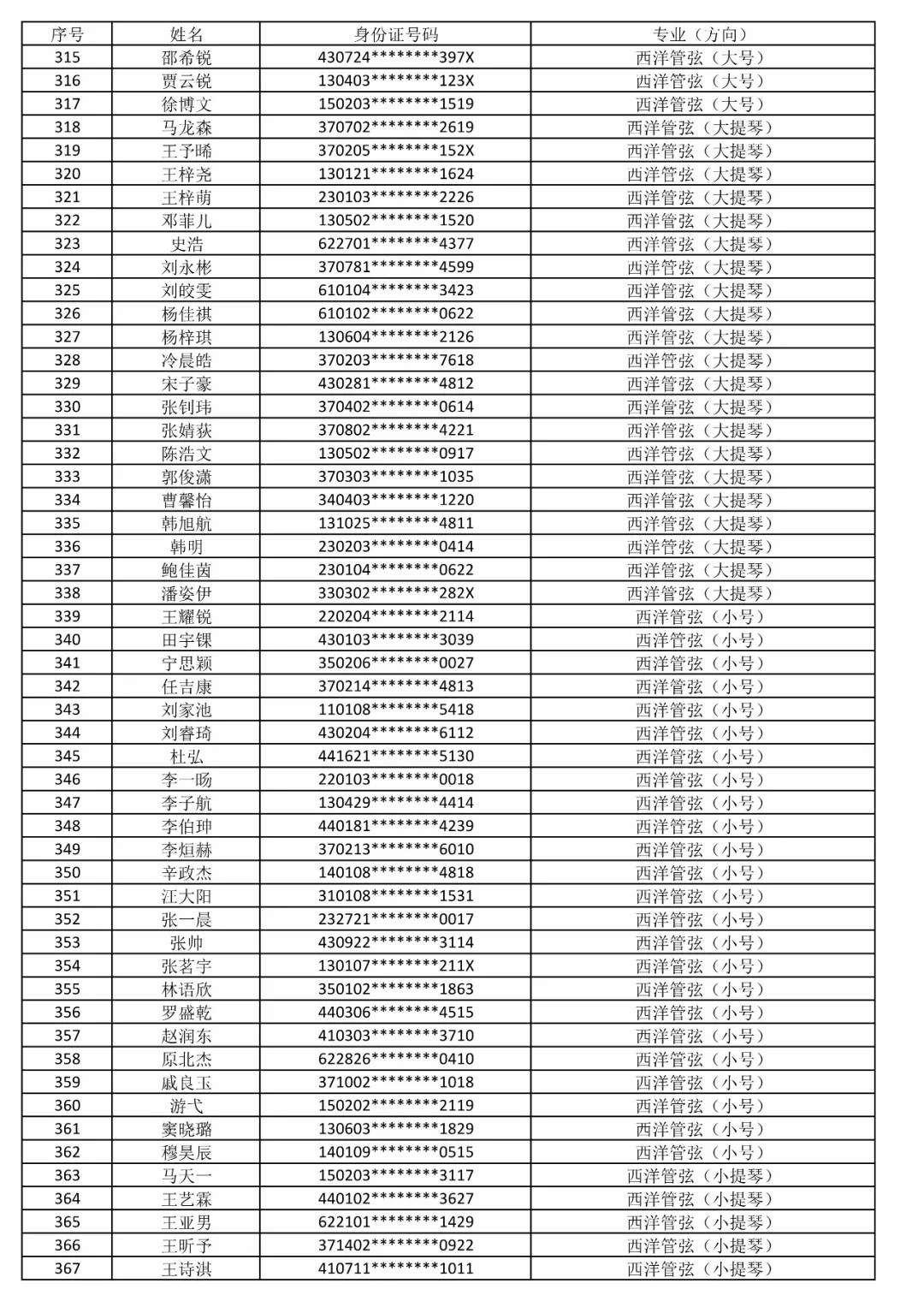
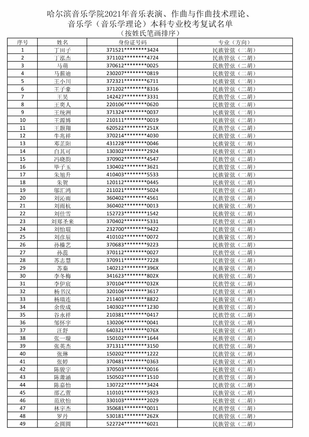
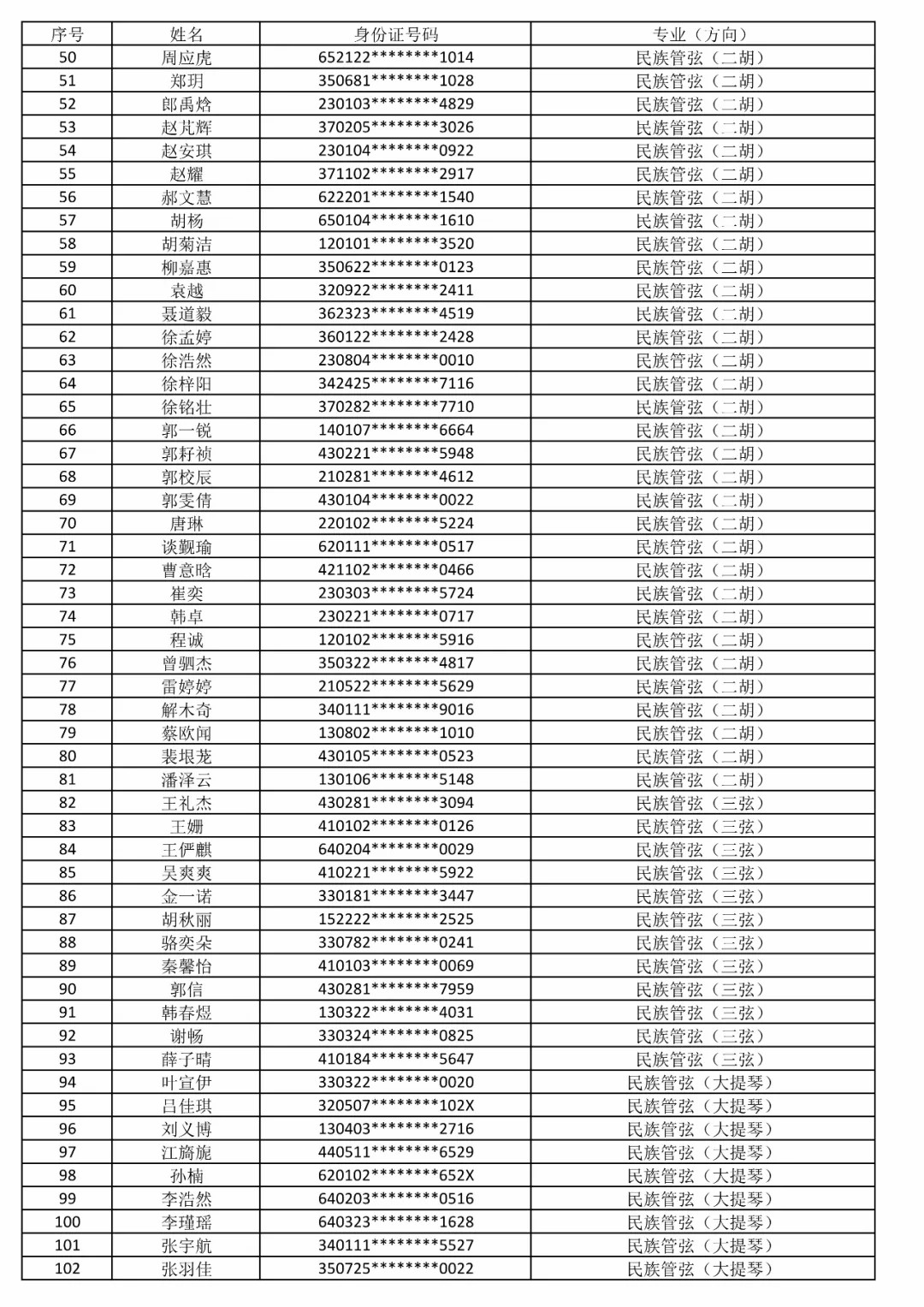
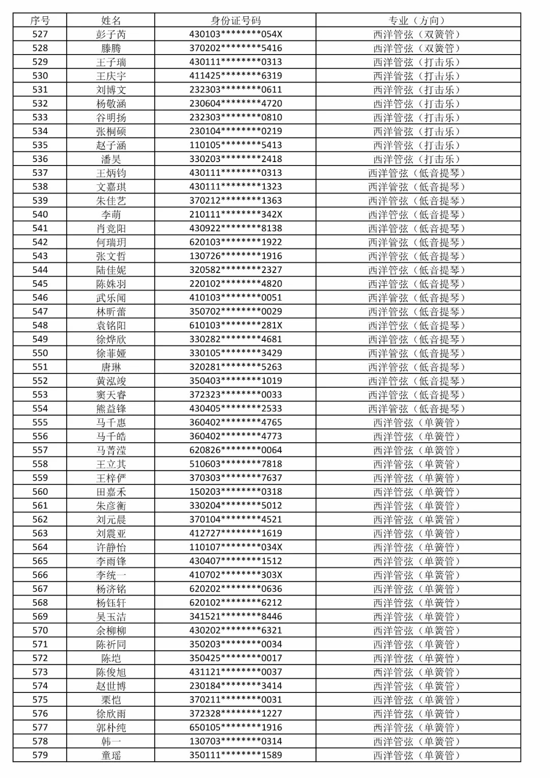
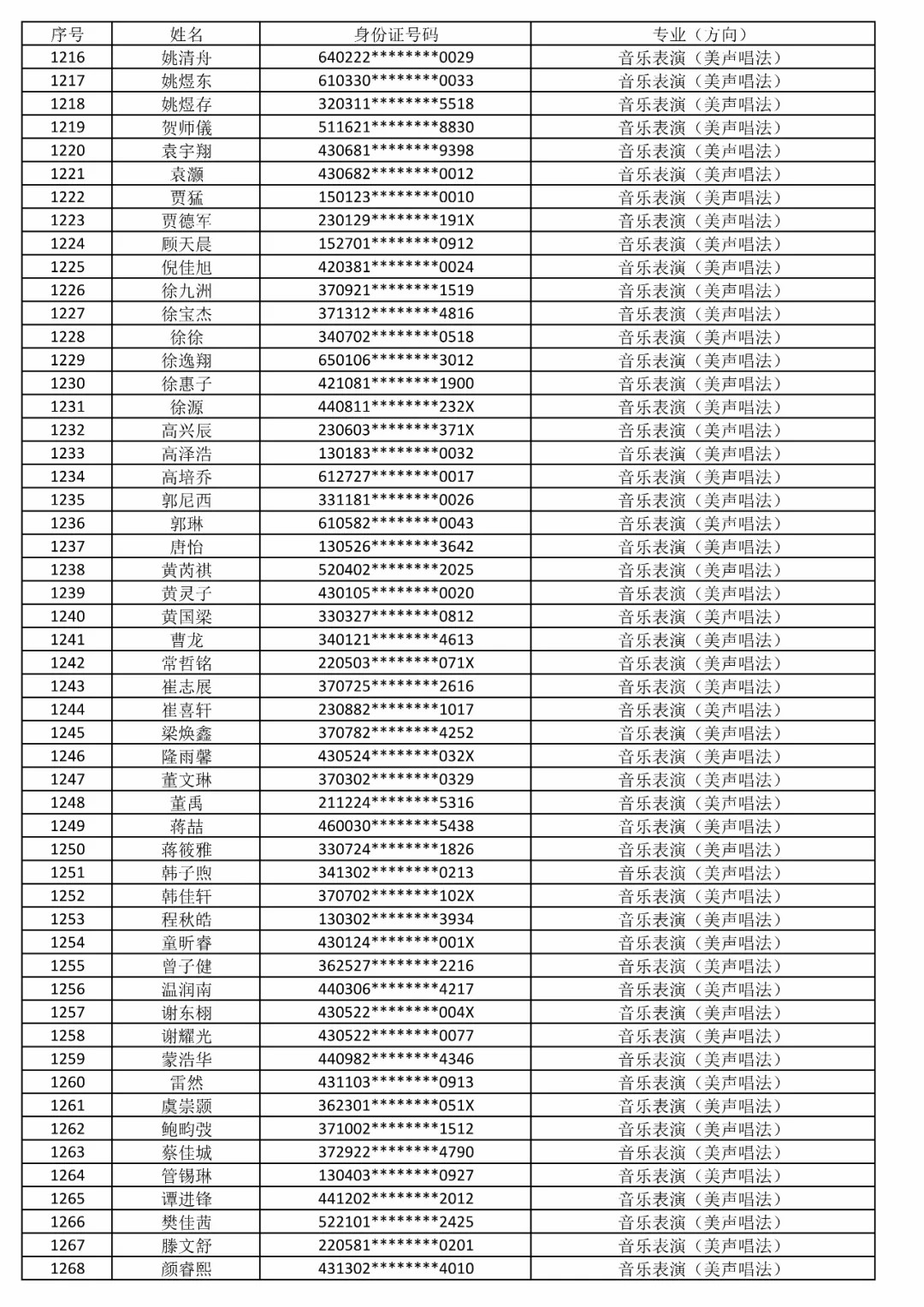
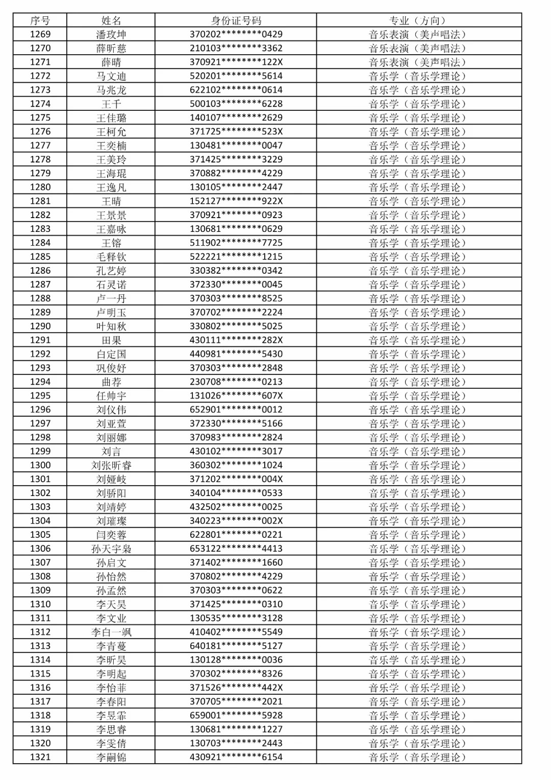
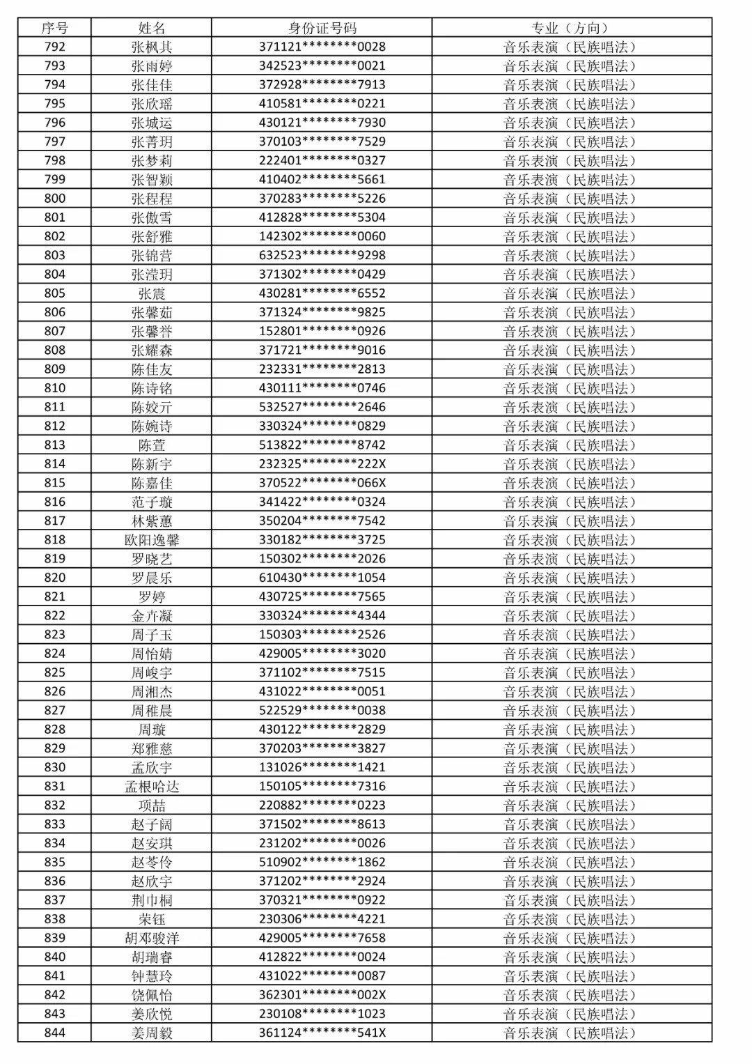
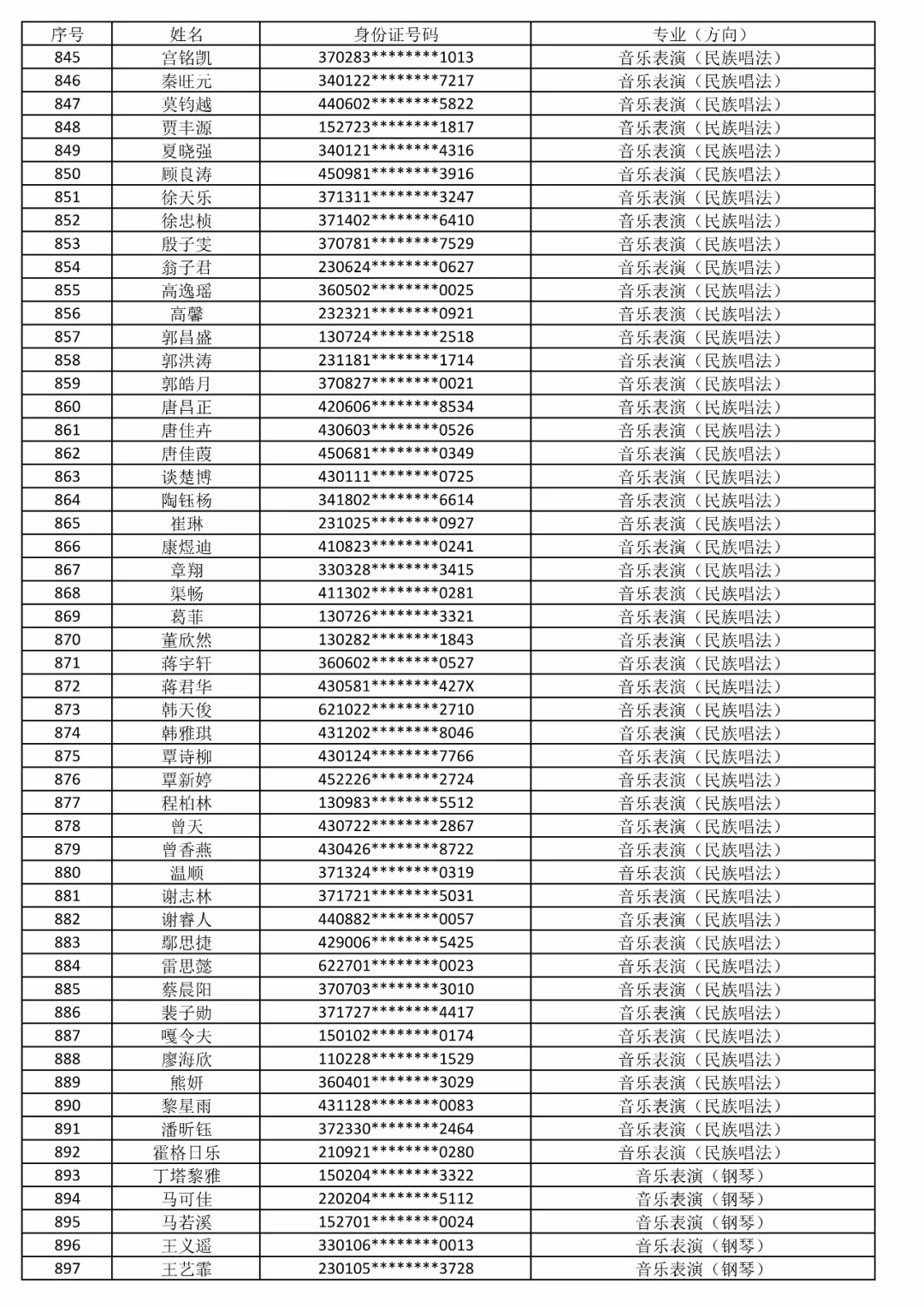
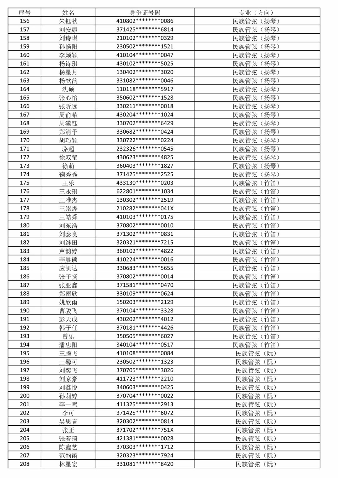
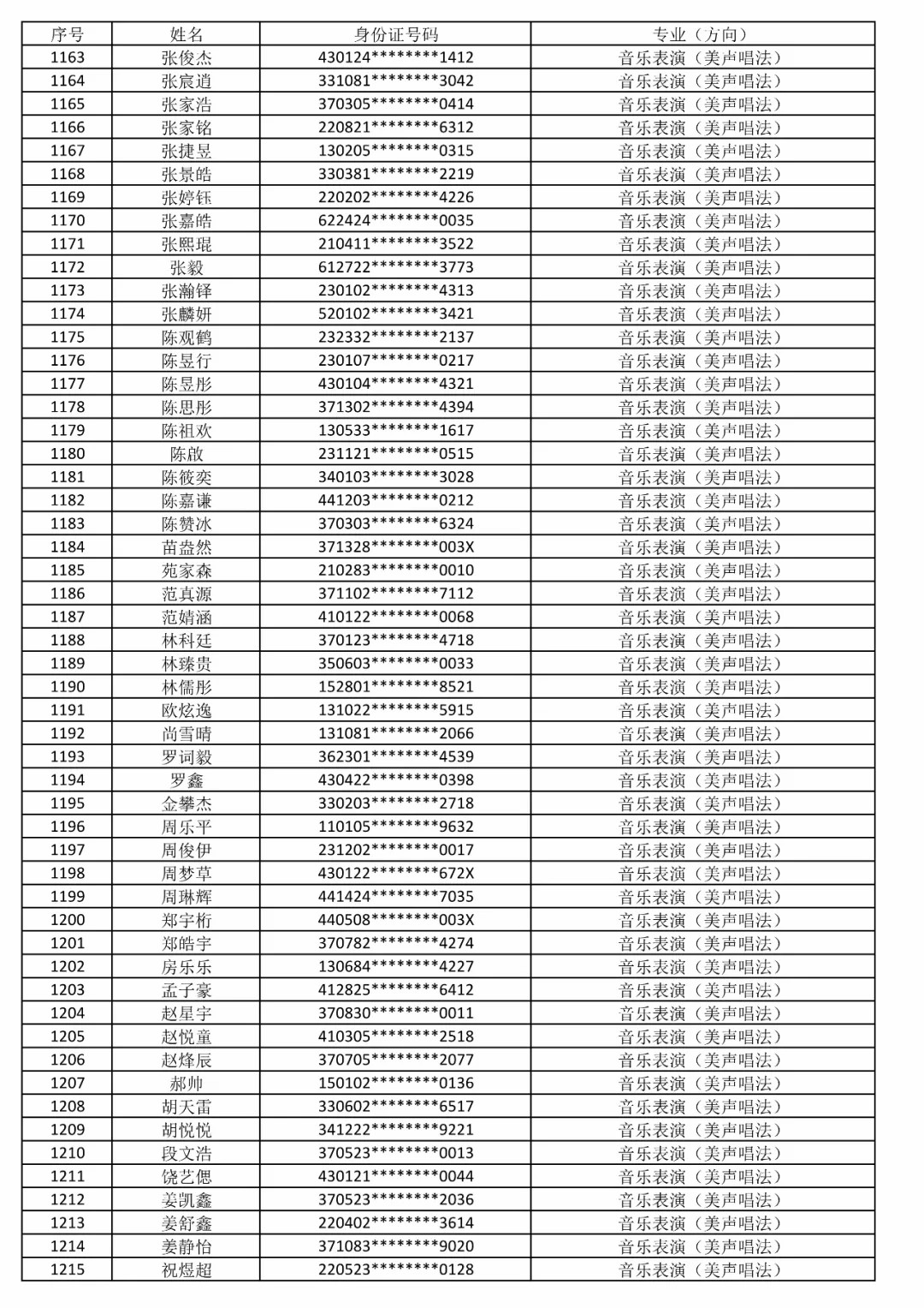
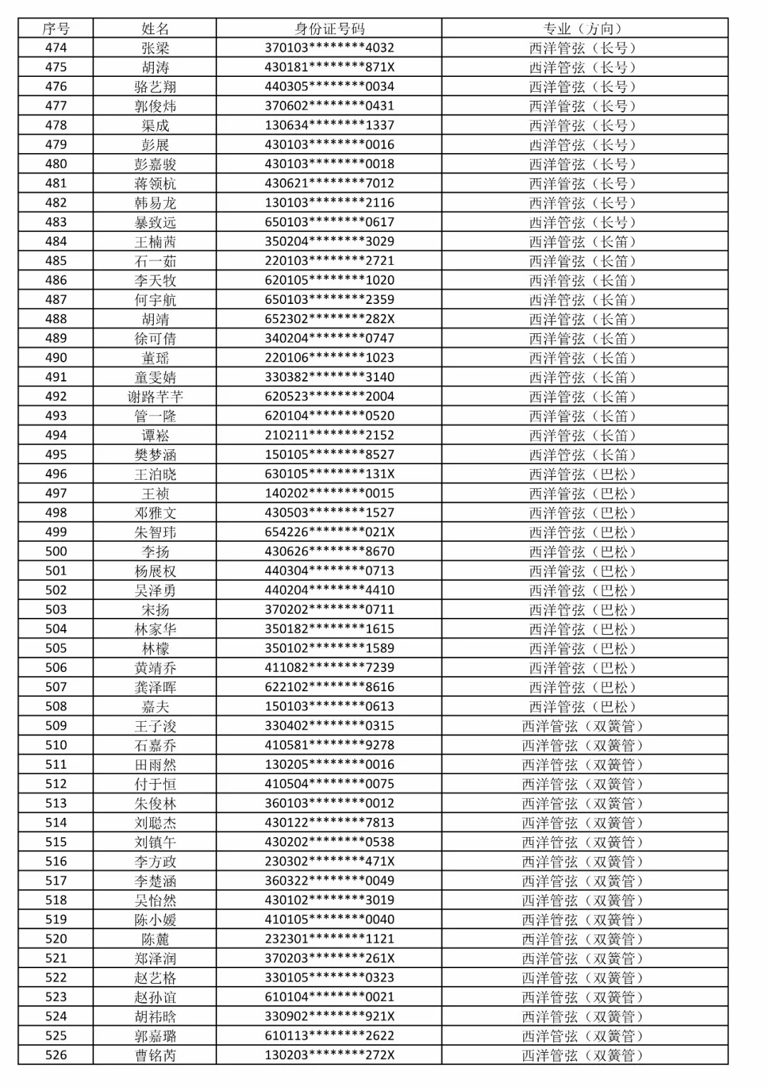
我院2021年音乐表演、作曲与作曲技术理论、音乐学(音乐学理论)本科专业校考复试名单见附件。ZDc音乐培训_音乐艺考培训学校-

二、复试报名ZDc音乐培训_音乐艺考培训学校-

校考复试报名时间为2月6日8:00至2月10日16:00。考生须用手机终端下载“小艺帮”APP,小艺帮APP的【考试】页面会出现您有待确认的考试,请点进去确认考试并缴费(200元/人)。在规定时间内未缴费的考生,视为自动放弃复试。ZDc音乐培训_音乐艺考培训学校-

三、复试相关要求ZDc音乐培训_音乐艺考培训学校-

学院2021年本科专业校考复试内容详见《招生简章》。根据当前防控要求,复试考试形式及时间将于2021年2月下旬公布,请各位考生及时关注我院官网及官方微信公众号关于本科校考的通知。ZDc音乐培训_音乐艺考培训学校-

四、联系方式ZDc音乐培训_音乐艺考培训学校-

关于校考咨询,考生可发送邮件至hyjwc58597688@163.com,或在“小艺帮”APP上进行在线咨询或拨打招生咨询电话0451-58597688(工作日8:30-11:30;13:30-16:30)。学院将及时回复考生咨询信息。ZDc音乐培训_音乐艺考培训学校-

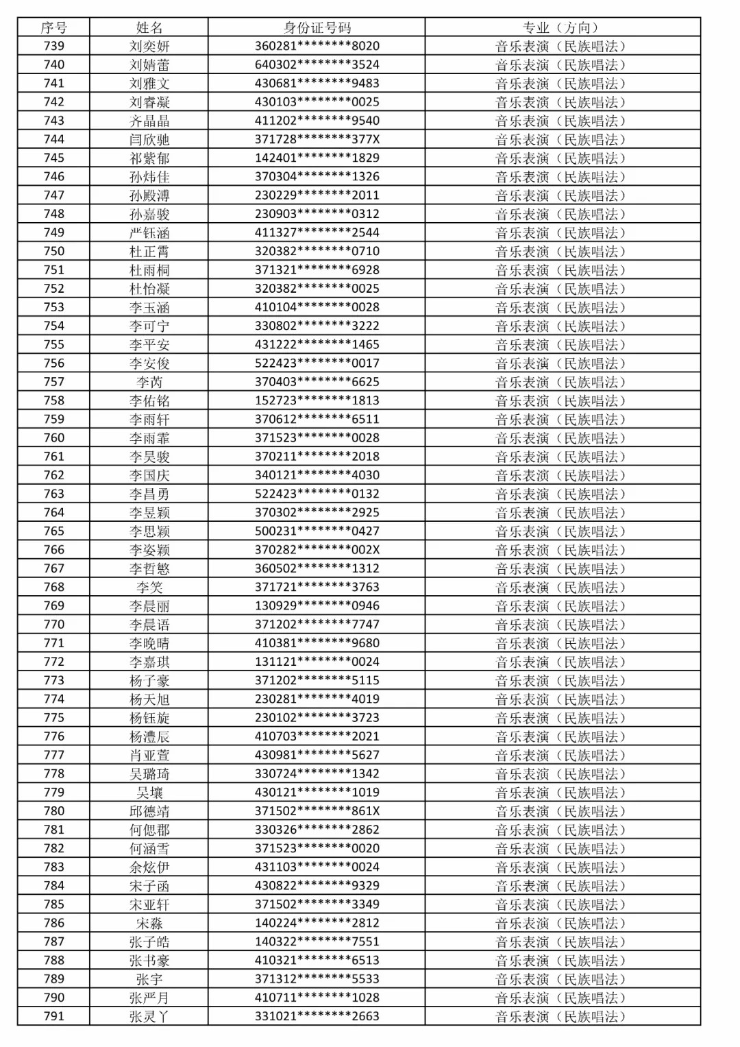
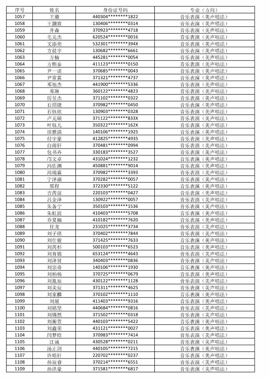
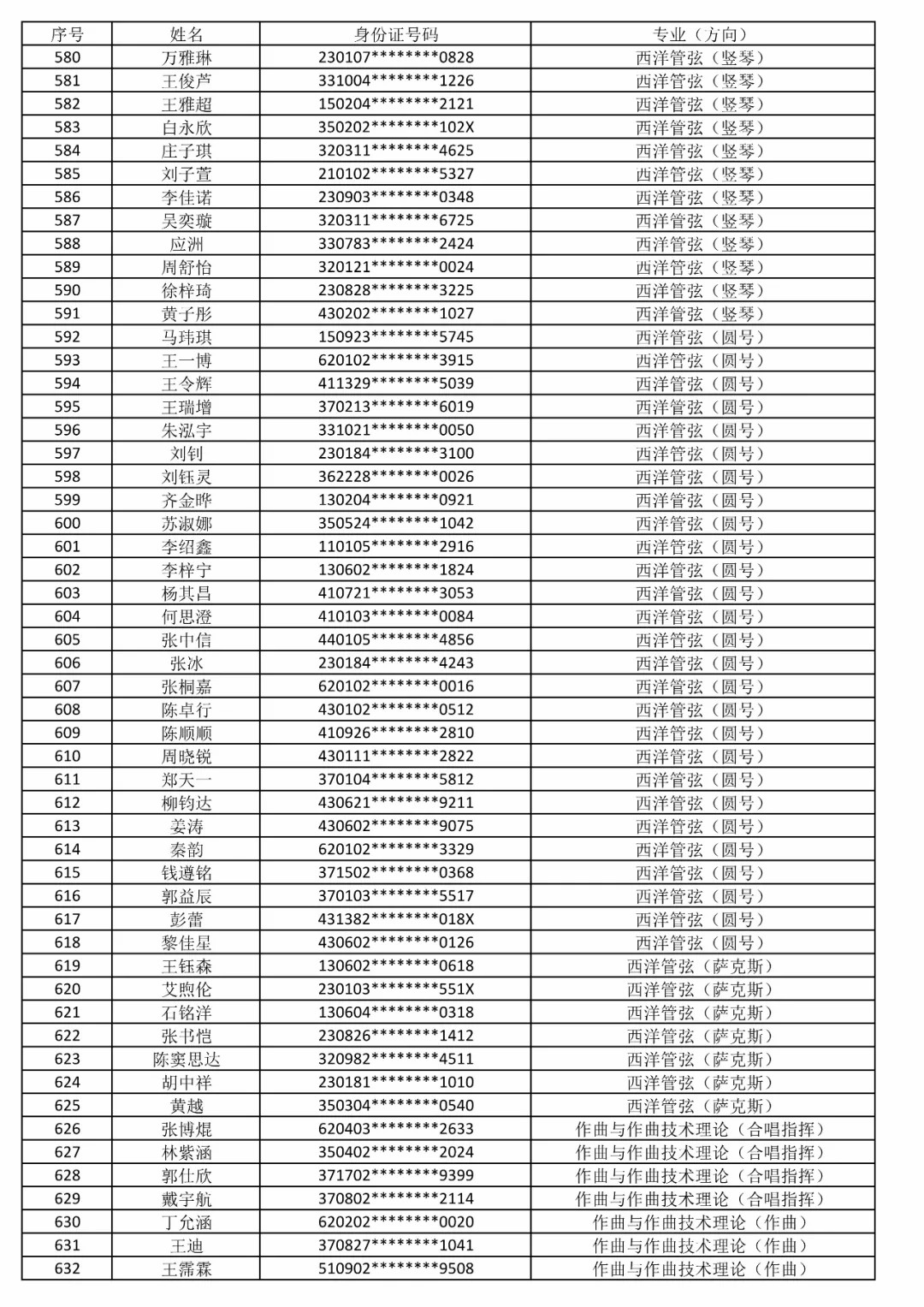
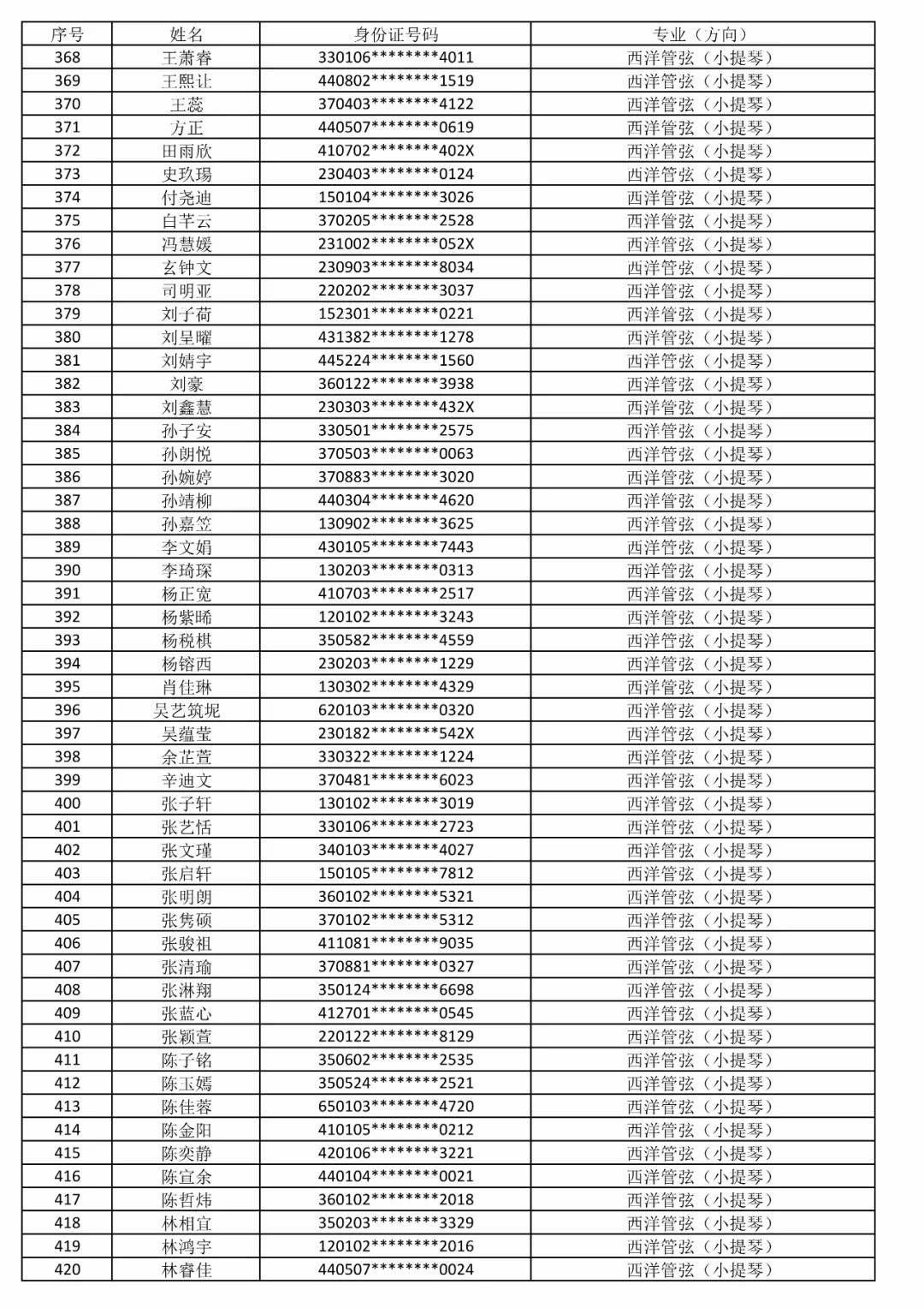
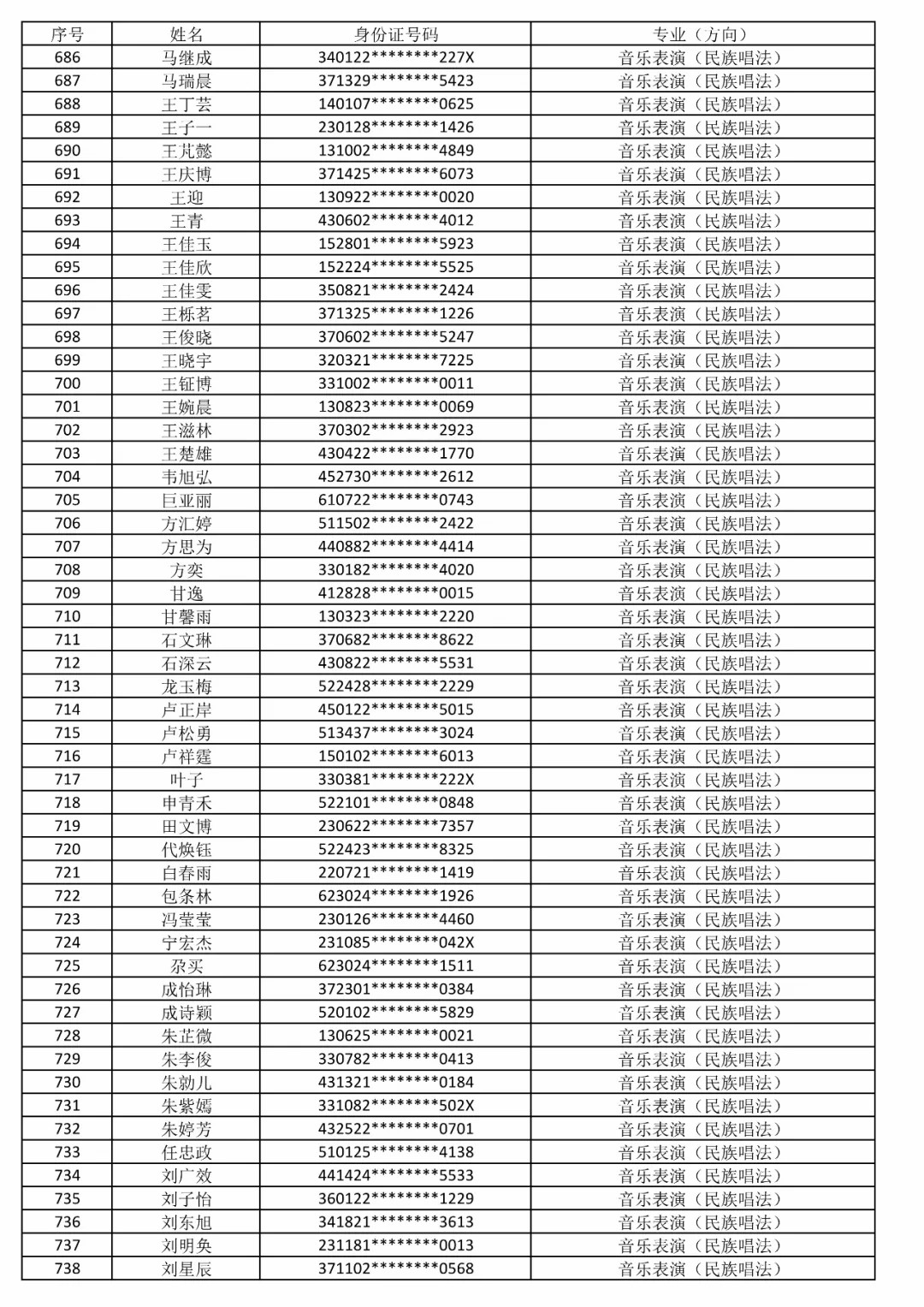
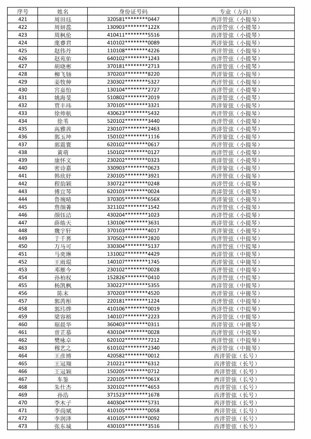
哈尔滨音乐学院2021年音乐表演、作曲与作曲技术理论、音乐学(音乐学理论)本科专业校考复试名单ZDc音乐培训_音乐艺考培训学校-

 ZDc音乐培训_音乐艺考培训学校-

 ZDc音乐培训_音乐艺考培训学校-

 ZDc音乐培训_音乐艺考培训学校-

 ZDc音乐培训_音乐艺考培训学校-

 ZDc音乐培训_音乐艺考培训学校-

 ZDc音乐培训_音乐艺考培训学校-

 ZDc音乐培训_音乐艺考培训学校-

 ZDc音乐培训_音乐艺考培训学校-

 ZDc音乐培训_音乐艺考培训学校-

 ZDc音乐培训_音乐艺考培训学校-

 ZDc音乐培训_音乐艺考培训学校-

 ZDc音乐培训_音乐艺考培训学校-

 ZDc音乐培训_音乐艺考培训学校-

 ZDc音乐培训_音乐艺考培训学校-

 ZDc音乐培训_音乐艺考培训学校-

 ZDc音乐培训_音乐艺考培训学校-

 ZDc音乐培训_音乐艺考培训学校-

 ZDc音乐培训_音乐艺考培训学校-

 ZDc音乐培训_音乐艺考培训学校-

 ZDc音乐培训_音乐艺考培训学校-

 ZDc音乐培训_音乐艺考培训学校-

 ZDc音乐培训_音乐艺考培训学校-

 ZDc音乐培训_音乐艺考培训学校-

 ZDc音乐培训_音乐艺考培训学校-

 ZDc音乐培训_音乐艺考培训学校-

 ZDc音乐培训_音乐艺考培训学校-

 ZDc音乐培训_音乐艺考培训学校-

 ZDc音乐培训_音乐艺考培训学校-

 ZDc音乐培训_音乐艺考培训学校-

 ZDc音乐培训_音乐艺考培训学校-

 ZDc音乐培训_音乐艺考培训学校-

 ZDc音乐培训_音乐艺考培训学校-

 ZDc音乐培训_音乐艺考培训学校-

 ZDc音乐培训_音乐艺考培训学校-

 ZDc音乐培训_音乐艺考培训学校-

 ZDc音乐培训_音乐艺考培训学校-

 ZDc音乐培训_音乐艺考培训学校-

 ZDc音乐培训_音乐艺考培训学校-

 ZDc音乐培训_音乐艺考培训学校-

 ZDc音乐培训_音乐艺考培训学校-

 ZDc音乐培训_音乐艺考培训学校-

 ZDc音乐培训_音乐艺考培训学校-

 ZDc音乐培训_音乐艺考培训学校-

 ZDc音乐培训_音乐艺考培训学校-

 ZDc音乐培训_音乐艺考培训学校-

 ZDc音乐培训_音乐艺考培训学校-

 ZDc音乐培训_音乐艺考培训学校-

 ZDc音乐培训_音乐艺考培训学校-

 ZDc音乐培训_音乐艺考培训学校-

 ZDc音乐培训_音乐艺考培训学校-

 ZDc音乐培训_音乐艺考培训学校-

 ZDc音乐培训_音乐艺考培训学校-

 ZDc音乐培训_音乐艺考培训学校-

 ZDc音乐培训_音乐艺考培训学校-

哈尔滨音乐学院2021年音乐学(演艺产业管理)校考合格名单ZDc音乐培训_音乐艺考培训学校-

 ZDc音乐培训_音乐艺考培训学校-

 ZDc音乐培训_音乐艺考培训学校-

 ZDc音乐培训_音乐艺考培训学校-

 ZDc音乐培训_音乐艺考培训学校-

 ZDc音乐培训_音乐艺考培训学校-

 ZDc音乐培训_音乐艺考培训学校-

 ZDc音乐培训_音乐艺考培训学校-

本文系 网站编辑转载,转载目的在于传递更多信息。如涉及作品内容、版权和其它问题,请在30日内与本网联系,我们将在第一时间删除内容!