武汉音乐学院2021年本科复试名单及复试公告

测试引导图片
  • 预约测评
  • 提交

武汉音乐学院2021年本科复试名单及复试公告

一、复试名单kYN音乐培训_音乐艺考培训学校-

2021年报考我校音乐表演(指挥方向除外)、舞蹈表演、舞蹈编导专业的所有考生,报考我校舞蹈学、音乐学(音乐教育)专业(方向)的非湖北省考生,初试合格复试名单见附件。kYN音乐培训_音乐艺考培训学校-

二、复试缴费kYN音乐培训_音乐艺考培训学校-

2021年2月25日9:00-17:00,初试合格复试考生登录武汉音乐学院招生信息网(https://zsks.whcm.edu.cn),使用支付宝完成网上缴费。未在规定时限内缴纳复试考试费的,视为自动放弃复试资格,不予安排考试。考生无论是否参加考试,所缴纳复试考试费一律不退。kYN音乐培训_音乐艺考培训学校-

三、《视唱》曲目库kYN音乐培训_音乐艺考培训学校-

我校2021年普通本科招生考试《视唱》曲目库已发布,kYN音乐培训_音乐艺考培训学校-

请所有考生(初试合格复试考生和不分初复试考生)按要求准备。网址:https://zsks.whcm.edu.cn/info/1111/4867.htm。kYN音乐培训_音乐艺考培训学校-

长按识别下方二维码即可查看视唱曲目库▼kYN音乐培训_音乐艺考培训学校-

 kYN音乐培训_音乐艺考培训学校-

 kYN音乐培训_音乐艺考培训学校-

四、其他事项kYN音乐培训_音乐艺考培训学校-

1.学校将视发展情况发布校考考试日程及安排。请所有考生密切关注武汉音乐学院招生信息网和武汉音乐学院招生办微信公众号发布的信息。kYN音乐培训_音乐艺考培训学校-

2.为切实保障广大考生的身体健康和生命安全,请所有考生密切关注现所在地及湖北省武汉市防控要求,做好防疫措施,提前做好防疫准备和考试准备。kYN音乐培训_音乐艺考培训学校-

(1)坚持每日测量体温并记录。kYN音乐培训_音乐艺考培训学校-

(2)了解现所在地及湖北省武汉市的防控有关要求,按要求准备“健康码”、“防疫行程卡”等。kYN音乐培训_音乐艺考培训学校-

(3)考前非必要不出行,不前往新冠肺炎中高风险地区,认真做好个人防护。kYN音乐培训_音乐艺考培训学校-

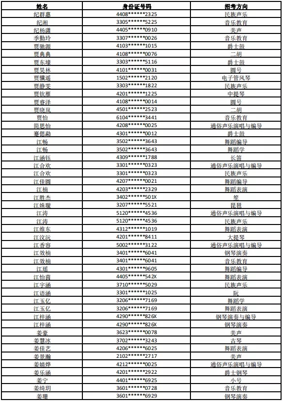
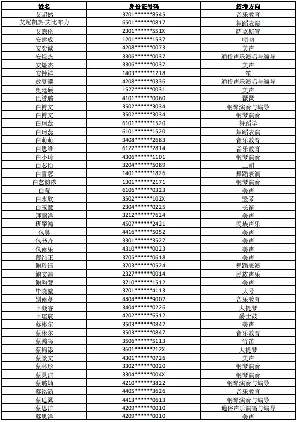
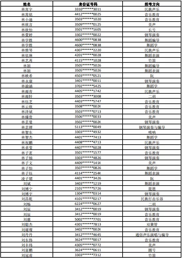
附:武汉音乐学院2021年本科复试名单kYN音乐培训_音乐艺考培训学校-

 kYN音乐培训_音乐艺考培训学校-

 kYN音乐培训_音乐艺考培训学校-

 kYN音乐培训_音乐艺考培训学校-

 kYN音乐培训_音乐艺考培训学校-

 kYN音乐培训_音乐艺考培训学校-

 kYN音乐培训_音乐艺考培训学校-

 kYN音乐培训_音乐艺考培训学校-

 kYN音乐培训_音乐艺考培训学校-

 kYN音乐培训_音乐艺考培训学校-

 kYN音乐培训_音乐艺考培训学校-

 kYN音乐培训_音乐艺考培训学校-

 kYN音乐培训_音乐艺考培训学校-

 kYN音乐培训_音乐艺考培训学校-

 kYN音乐培训_音乐艺考培训学校-

 kYN音乐培训_音乐艺考培训学校-

 kYN音乐培训_音乐艺考培训学校-

 kYN音乐培训_音乐艺考培训学校-

 kYN音乐培训_音乐艺考培训学校-

 kYN音乐培训_音乐艺考培训学校-

 kYN音乐培训_音乐艺考培训学校-

 kYN音乐培训_音乐艺考培训学校-

 kYN音乐培训_音乐艺考培训学校-

 kYN音乐培训_音乐艺考培训学校-

 kYN音乐培训_音乐艺考培训学校-

 kYN音乐培训_音乐艺考培训学校-

 kYN音乐培训_音乐艺考培训学校-

 kYN音乐培训_音乐艺考培训学校-

 kYN音乐培训_音乐艺考培训学校-

 kYN音乐培训_音乐艺考培训学校-

 kYN音乐培训_音乐艺考培训学校-

 kYN音乐培训_音乐艺考培训学校-

 kYN音乐培训_音乐艺考培训学校-

 kYN音乐培训_音乐艺考培训学校-

 kYN音乐培训_音乐艺考培训学校-

 kYN音乐培训_音乐艺考培训学校-

 kYN音乐培训_音乐艺考培训学校-

 kYN音乐培训_音乐艺考培训学校-

 kYN音乐培训_音乐艺考培训学校-

 kYN音乐培训_音乐艺考培训学校-

 kYN音乐培训_音乐艺考培训学校-

 kYN音乐培训_音乐艺考培训学校-

 kYN音乐培训_音乐艺考培训学校-

 kYN音乐培训_音乐艺考培训学校-

 kYN音乐培训_音乐艺考培训学校-

 kYN音乐培训_音乐艺考培训学校-

 kYN音乐培训_音乐艺考培训学校-

 kYN音乐培训_音乐艺考培训学校-

 kYN音乐培训_音乐艺考培训学校-

 kYN音乐培训_音乐艺考培训学校-

 kYN音乐培训_音乐艺考培训学校-

 kYN音乐培训_音乐艺考培训学校-

 kYN音乐培训_音乐艺考培训学校-

 kYN音乐培训_音乐艺考培训学校-

 kYN音乐培训_音乐艺考培训学校-

 kYN音乐培训_音乐艺考培训学校-

 kYN音乐培训_音乐艺考培训学校-

 kYN音乐培训_音乐艺考培训学校-

 kYN音乐培训_音乐艺考培训学校-

 kYN音乐培训_音乐艺考培训学校-

 kYN音乐培训_音乐艺考培训学校-

 kYN音乐培训_音乐艺考培训学校-

 kYN音乐培训_音乐艺考培训学校-

 kYN音乐培训_音乐艺考培训学校-

 kYN音乐培训_音乐艺考培训学校-

 kYN音乐培训_音乐艺考培训学校-

 kYN音乐培训_音乐艺考培训学校-

 kYN音乐培训_音乐艺考培训学校-

 kYN音乐培训_音乐艺考培训学校-

 kYN音乐培训_音乐艺考培训学校-

附:武汉音乐学院2021年本科招生简章kYN音乐培训_音乐艺考培训学校-

本文系 网站编辑转载,转载目的在于传递更多信息。如涉及作品内容、版权和其它问题,请在30日内与本网联系,我们将在第一时间删除内容!