上海音乐学院2021年本科专业合格名单公布

测试引导图片
  • 预约测评
  • 提交

上海音乐学院2021年本科专业合格名单

  钢琴系sv6音乐培训_音乐艺考培训学校-

  sv6音乐培训_音乐艺考培训学校-

  管弦系sv6音乐培训_音乐艺考培训学校-

  sv6音乐培训_音乐艺考培训学校-
sv6音乐培训_音乐艺考培训学校-
sv6音乐培训_音乐艺考培训学校-
sv6音乐培训_音乐艺考培训学校-

  声乐歌剧系sv6音乐培训_音乐艺考培训学校-

  sv6音乐培训_音乐艺考培训学校-

  民乐系sv6音乐培训_音乐艺考培训学校-

  sv6音乐培训_音乐艺考培训学校-
sv6音乐培训_音乐艺考培训学校-
sv6音乐培训_音乐艺考培训学校-

  作曲指挥系sv6音乐培训_音乐艺考培训学校-

sv6音乐培训_音乐艺考培训学校-

  音乐学系sv6音乐培训_音乐艺考培训学校-

 sv6音乐培训_音乐艺考培训学校-

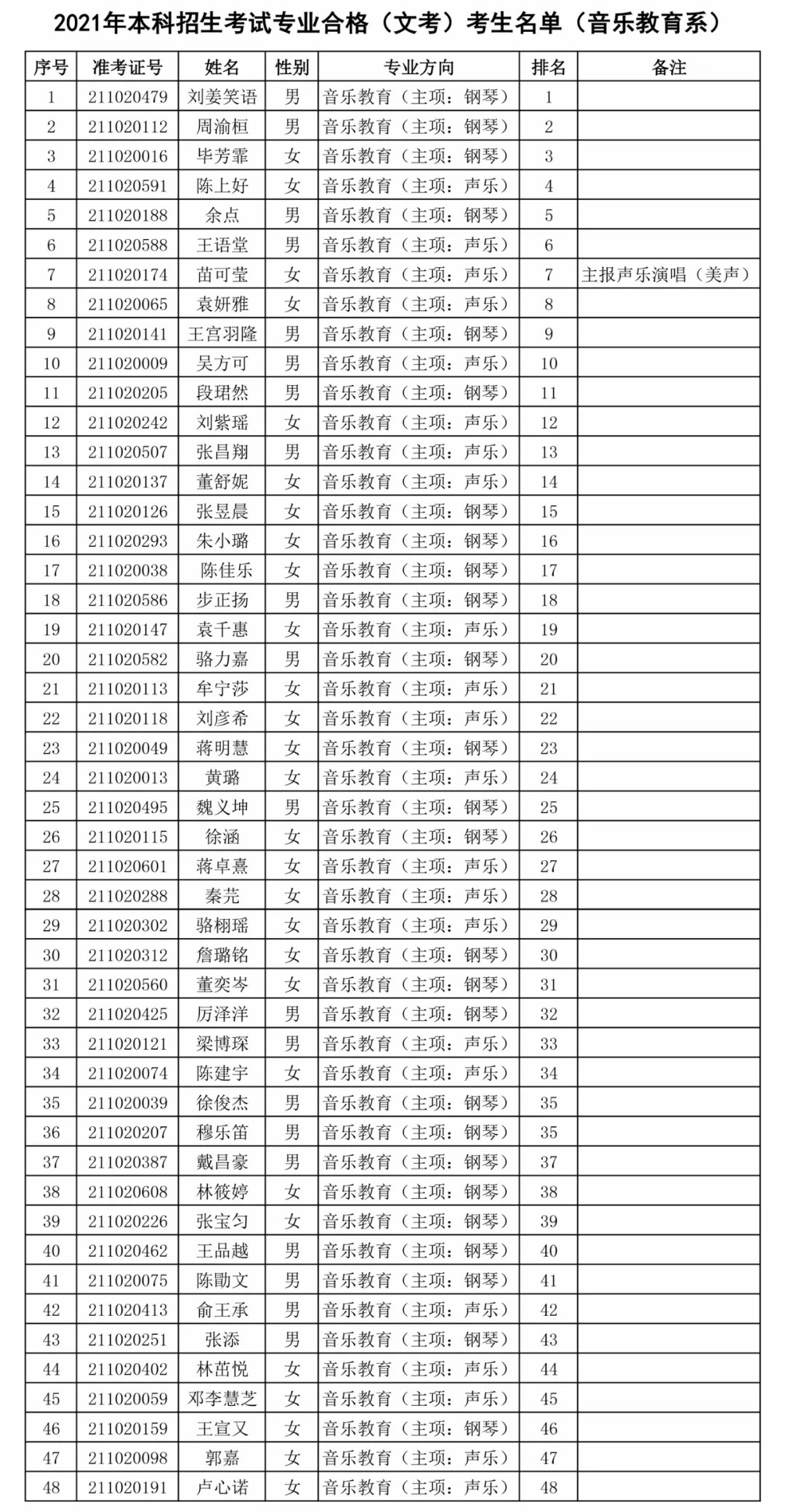
  音乐教育系sv6音乐培训_音乐艺考培训学校-

sv6音乐培训_音乐艺考培训学校-

  现代器乐与打击乐系sv6音乐培训_音乐艺考培训学校-

sv6音乐培训_音乐艺考培训学校-

  音乐工程系sv6音乐培训_音乐艺考培训学校-

  sv6音乐培训_音乐艺考培训学校-

  音乐戏剧系sv6音乐培训_音乐艺考培训学校-

  sv6音乐培训_音乐艺考培训学校-

  数字媒体艺术学院sv6音乐培训_音乐艺考培训学校-

 sv6音乐培训_音乐艺考培训学校-
sv6音乐培训_音乐艺考培训学校-
sv6音乐培训_音乐艺考培训学校-

  港澳台生sv6音乐培训_音乐艺考培训学校-

 sv6音乐培训_音乐艺考培训学校-

  2022届音乐生想考哈尔滨音乐学院的同学,现在就应该开始备考。越早了解专业相关知识,越早规划备考,专业水平提升空间和时间越充足。如果你不清楚自己是否适合艺考,不知道怎么选择专业,对艺考之路迷茫,不妨找专业老师帮你全方位测评规划,解决你所有的艺考疑问。拨打免费热线4008018817即可咨询。sv6音乐培训_音乐艺考培训学校-

本文系 网站编辑转载,转载目的在于传递更多信息。如涉及作品内容、版权和其它问题,请在30日内与本网联系,我们将在第一时间删除内容!