浙江音乐学院2021年本科专业录取名单及各专业低成绩
- 预约测评
- 提交
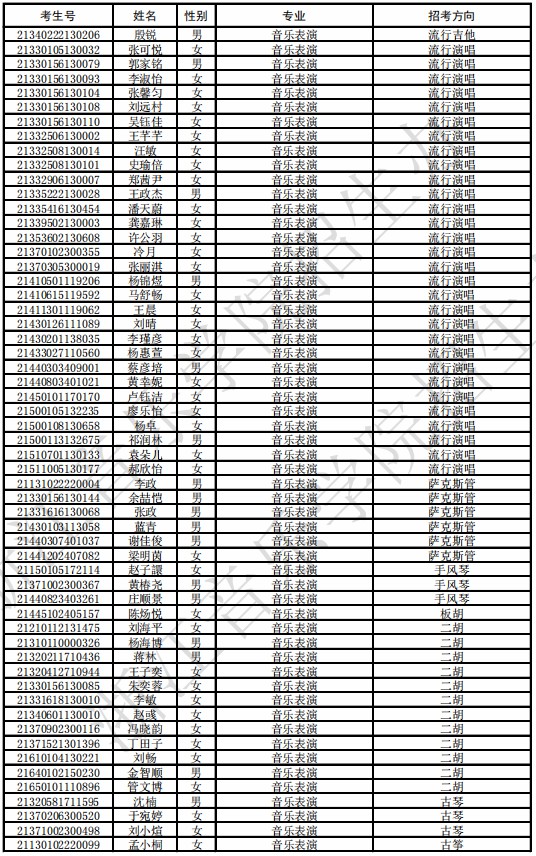
浙江音乐学院2021年全日制本科招生各专业(综合)拟录取低成绩、拟录取名单予以公布。7月下旬,院校将按上级招生主管部门审核通过的正式录取名单办理录取手续,并寄发录取通知书。
浙江音乐学院2021年本科专业拟录取名单及各专业低成绩













本文系 网站编辑转载,转载目的在于传递更多信息。如涉及作品内容、版权和其它问题,请在30日内与本网联系,我们将在第一时间删除内容!
浙江音乐学院2021年全日制本科招生各专业(综合)拟录取低成绩、拟录取名单予以公布。7月下旬,院校将按上级招生主管部门审核通过的正式录取名单办理录取手续,并寄发录取通知书。













本文系 网站编辑转载,转载目的在于传递更多信息。如涉及作品内容、版权和其它问题,请在30日内与本网联系,我们将在第一时间删除内容!
美声唱法艺考培训导师
德国国立卡塞尔音乐学院、德国萨尔音乐与戏剧学院双硕士
美声唱法艺考培训导师赵欣悦:德国国立卡塞尔音乐学院、德国萨尔音乐与戏剧学院双硕士;在德期间多次参加音乐会,在法国作曲家Theodore Gouvy诞辰100周年之际,受邀参加在法国驻德国大使馆举办的友好音乐会;2021年连续举办两场独唱音乐会。
点点taptapBET下载
美声唱法艺考培训导师
俄罗斯国立莫斯科格涅辛音乐学院硕士
美声唱法艺考培训导师孙雪曼:俄罗斯国立莫斯科格涅辛音乐学院硕士;曾获立陶宛国际声乐比赛第一名。获莫斯科国际现代艺术与教育比赛优秀奖。获第二十一届意大利国际声乐比赛第一名
点点taptapBET下载