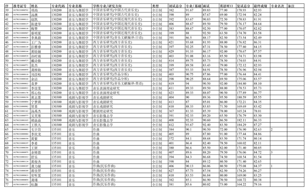
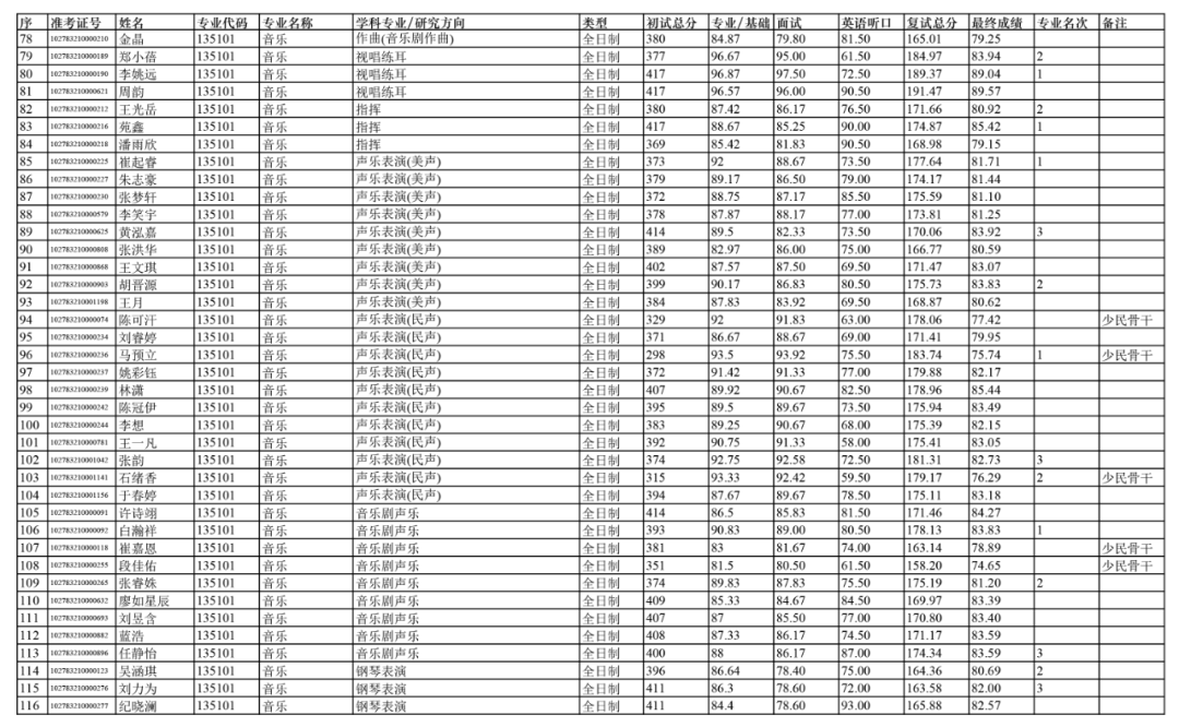
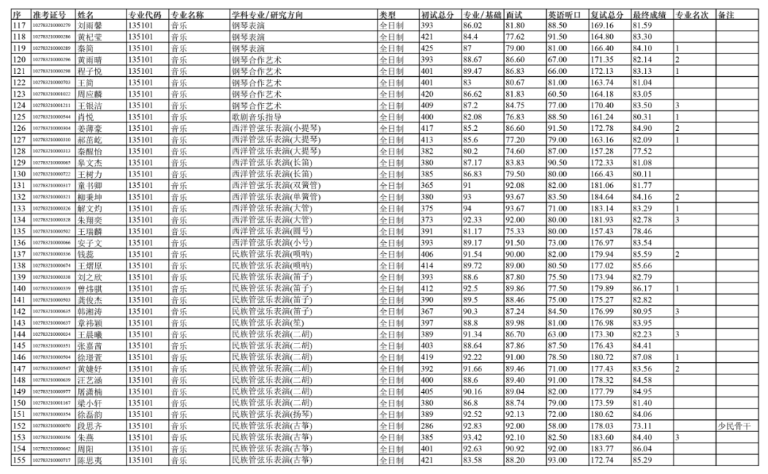
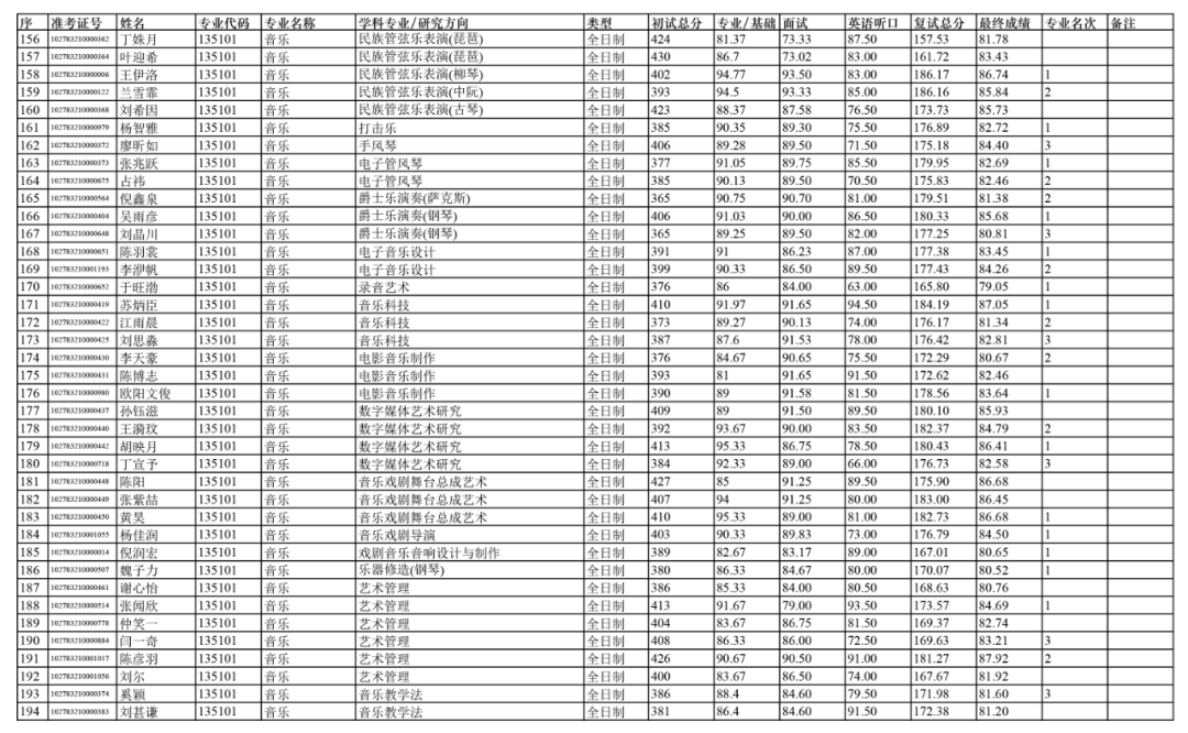
上海音乐学院2023年硕士研究生拟录取名单
- 预约测评
- 提交
依据《上海音乐学院2023年硕士研究生招生复试及录取工作办法》,经上音硕士研究生招生工作领导小组2023年4月13日会议审定,拟录取以下人员为上海音乐学院2023级硕士研究生(不含推免生、港澳台研究生、留学生研究生)。
公示时间为即日起十个工作日。拟录取人员须经过公示、人事档案调查、教育部录取检查等审核环节,通过后方为正式录取。






调剂志愿名单

本文系 网站编辑转载,转载目的在于传递更多信息。如涉及作品内容、版权和其它问题,请在30日内与本网联系,我们将在第一时间删除内容!































































