浙江音乐学院2024年校考录取名单公布!

测试引导图片
  • 预约测评
  • 提交

简介

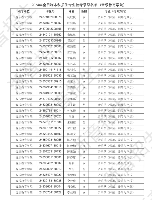
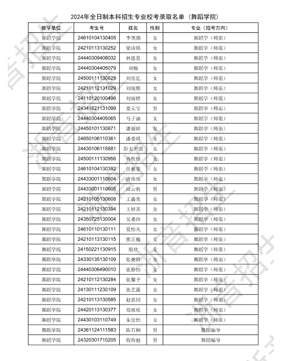
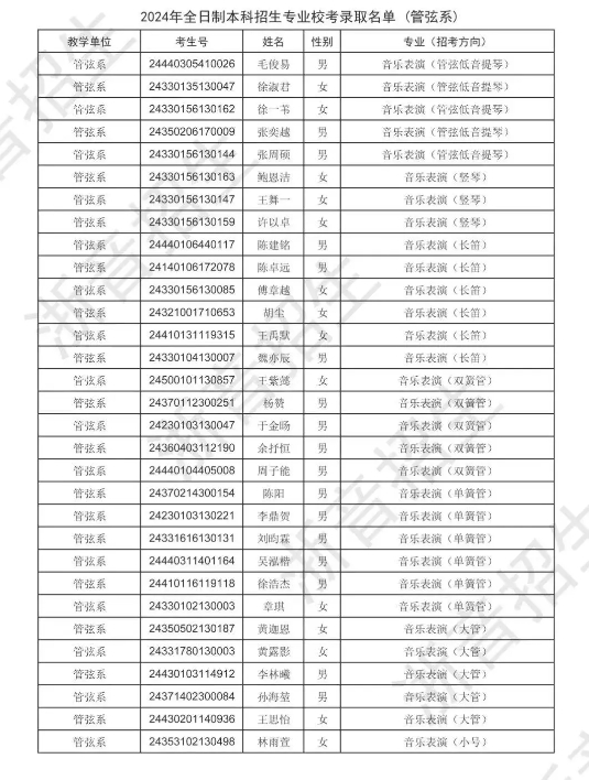
现将我校2024年全日制本科招生专业校考、戏曲类(越剧)省际联考、华侨港澳台录取名单予以公布。5lZ音乐培训_音乐艺考培训学校-

近期,我校将按上级招生主管部门审核通过的正式录取名单办理录取手续,并寄发录取通知书。5lZ音乐培训_音乐艺考培训学校-

浙江音乐学院招生办公室5lZ音乐培训_音乐艺考培训学校-

2024年7月22日5lZ音乐培训_音乐艺考培训学校-

请拨打热线:400-801-8817, 有专业的老师提供免费的测评,测评的流程是声乐(音准|节奏|气息|咬字|音色|发声|曲目)、器乐(音符|节奏|弹奏方法|旋律线条|乐曲完整|强弱处理|呼吸处理)、小三门(音准、节奏、不识谱、流程、完整、乐理程度、音乐表现力)5lZ音乐培训_音乐艺考培训学校-

具体表格如下:

5lZ音乐培训_音乐艺考培训学校-

5lZ音乐培训_音乐艺考培训学校-

5lZ音乐培训_音乐艺考培训学校-

5lZ音乐培训_音乐艺考培训学校-

5lZ音乐培训_音乐艺考培训学校-

5lZ音乐培训_音乐艺考培训学校-

5lZ音乐培训_音乐艺考培训学校-

5lZ音乐培训_音乐艺考培训学校-

5lZ音乐培训_音乐艺考培训学校-

5lZ音乐培训_音乐艺考培训学校-

5lZ音乐培训_音乐艺考培训学校-

5lZ音乐培训_音乐艺考培训学校-

5lZ音乐培训_音乐艺考培训学校-

5lZ音乐培训_音乐艺考培训学校-

5lZ音乐培训_音乐艺考培训学校-

5lZ音乐培训_音乐艺考培训学校-

5lZ音乐培训_音乐艺考培训学校-

5lZ音乐培训_音乐艺考培训学校-

5lZ音乐培训_音乐艺考培训学校-

5lZ音乐培训_音乐艺考培训学校-

 5lZ音乐培训_音乐艺考培训学校-

5lZ音乐培训_音乐艺考培训学校-

5lZ音乐培训_音乐艺考培训学校-

5lZ音乐培训_音乐艺考培训学校-

5lZ音乐培训_音乐艺考培训学校-

5lZ音乐培训_音乐艺考培训学校-

5lZ音乐培训_音乐艺考培训学校-

5lZ音乐培训_音乐艺考培训学校-

5lZ音乐培训_音乐艺考培训学校-
5lZ音乐培训_音乐艺考培训学校-
 

本文系 网站编辑转载,转载目的在于传递更多信息。如涉及作品内容、版权和其它问题,请在30日内与本网联系,我们将在第一时间删除内容!